Focus

La prevalenza di malattie e sintomi respiratori sta ancora aumentando: uno studio di popolazione durato 25 anni

Le malattie respiratorie croniche ed allergiche sono raddoppiate nel corso degli ultimi 25 anni e vivere in area urbana è un fattore di rischio per tali malattie.
Pochi studi epidemiologici su campioni di popolazione generale hanno stimato il cambiamento nella prevalenza di malattie e sintomi respiratori prendendo in considerazione un lungo arco temporale. Uno studio svolto dall'Unità di Epidemiologia Ambientale Polmonare dell'Istituto di Fisiologia Clinica (IFC) del CNR di Pisa insieme con l'Istituto di Biomedicina e Immunologia Molecolare (IBIM) del CNR di Palermo, l'Azienda Ospedaliero-Universitaria di Pisa e l'Università di Verona ha dato la possibilità di quantificare i cambiamenti nei tassi di prevalenza di sintomi e diagnosi di asma, rinite allergica e Broncopneumopatia Cronico Ostruttiva (BPCO) dopo 25 anni dal primo studio. I risultati sono stati pubblicati su Respiratory Medicine [1].
Un ampio campione di persone residenti a Pisa e Cascina (Toscana) ha partecipato a tre indagini epidemiologiche condotte negli anni 85-88 (n=3865, età media 44 anni), 91-93 (n=2841, età media 48 anni), 2009-11 (n=1620, età media 56 anni), compilando un questionario su stato di salute e fattori di rischio. Le analisi hanno riguardato in totale più di 4800 soggetti, di cui circa 2500 hanno partecipato ad almeno due delle tre indagini.
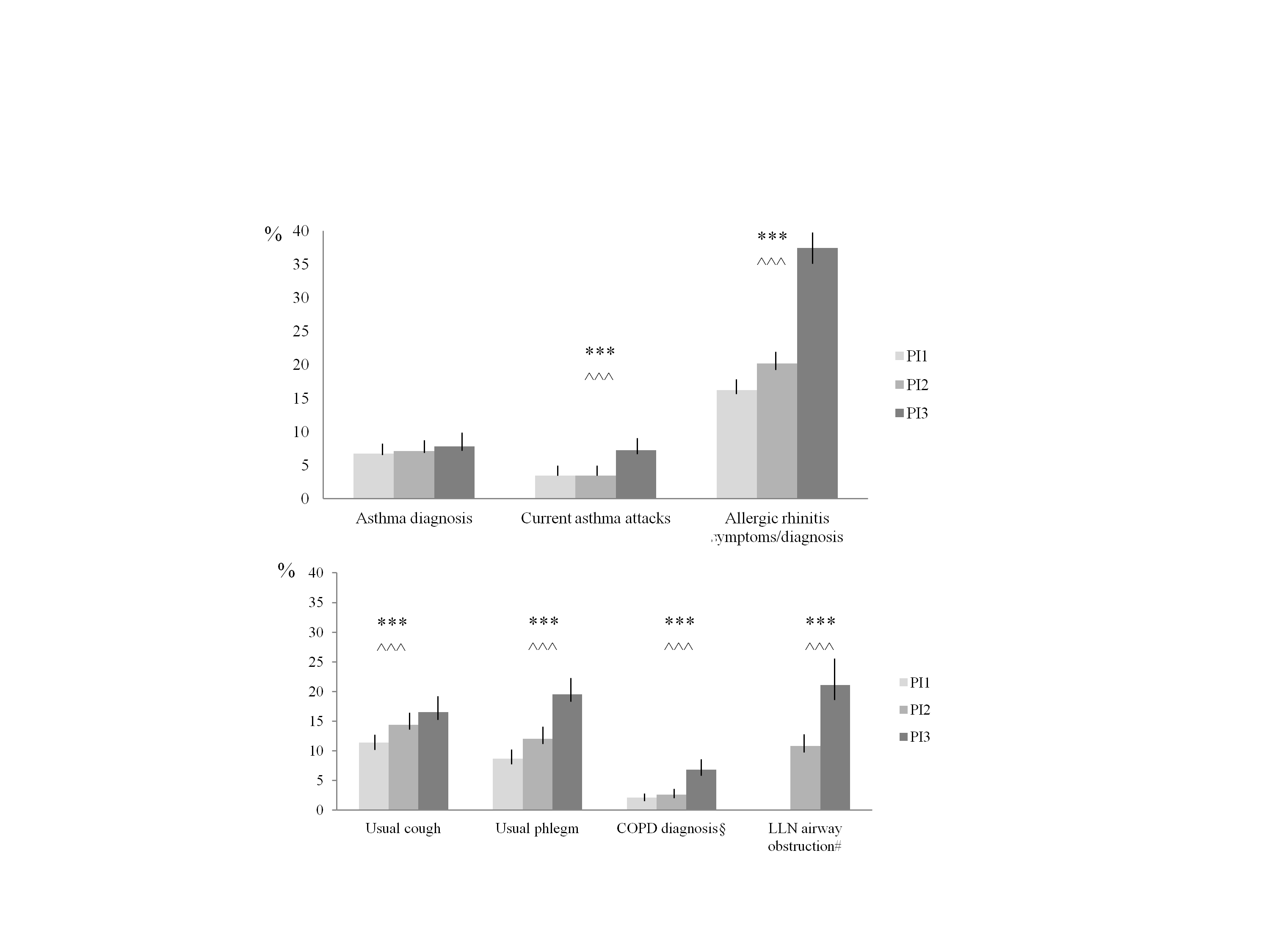
Dai risultati delle analisi statistiche è emerso che dalla prima alla terza indagine la prevalenza è più che raddoppiata per: attacchi d'asma (dal 3.4 al 7.2%), rinite allergica (dal 16.2 al 37.4%), espettorato (8.7 al 19.5%) e BPCO (2.1 al 6.8%). Questi dati hanno confermato il trend crescente evidenziato da altri studi epidemiologici internazionali e nazionali.
La ricerca ha inoltre evidenziato come le abitudini al fumo e l'esposizione lavorativa siano ancora fra i più importanti fattori di rischio per lo sviluppo di affezioni respiratorie. Il "fattore urbano" è un altro importante fattore di rischio sia per le allergopatie sia per le malattie croniche ostruttive; in particolare, i risultati delle analisi statistiche multivariata hanno mostrato come i soggetti residenti in area urbana, rispetto a quelli residenti in area suburbana, abbiano un rischio significativamente maggiore del 19% di avere rinite allergica, del 14% di avere tosse, del 30% di avere espettorato e del 54% di avere BPCO.
Questo studio conferma come le malattie respiratorie stiano ancora aumentando nella popolazione generale. Tale incremento fa emergere la necessità di pianificare indagini epidemiologiche longitudinali al fine di monitorare lo stato di salute della popolazione e ampliare le conoscenze sui fattori (allergeni, inquinanti atmosferici...) potenzialmente associati all'attuale trend temporale.

[1] Maio S, Baldacci S, Carrozzi L, Pistelli F, Angino A, Simoni M, Sarno G, Cerrai S, Martini F, Fresta M, Silvi P, Di Pede F, Guerriero M, Viegi G. Respiratory symptoms/diseases prevalence is still increasing: a 25-yr population study. Respir Med 2016;110:58-65.

Dr.ssa Sara Maio,
saramaio@ifc.cnr.it
Tel 0503153754

Immagini: